home

my physics 240 Computational Physics web page

Nasser M. Abbasi

 

Introduction:

 

I took this course in winter 2002 at san Jose stat Univ. while I working full time at Applied Biosystems. Used to drive from redwood city down Hwy 280 to san Jose. The traffic was bad as one gets closer to san Jose during rush hours. It was an evening class which was nice as I like night classes more than day ones. This was very tough course, so much work. Many students dropped out due to heavy HW load.

 

Course description Numerical techniques and computational methods applied to solving problems from various branches of physics.
Units 3 (Semester system)
University California State University, San Jose.
Instructor Dr. Alejandro Garcia.   http://www.algarcia.org/   algarcia@algarcia.org
Text book Numerical Methods for Physics, 2nd Edition. A.L.Garcia.

This is the text book errata

 

This is the Course web page 


Course description

scanned in First sheet of course description, in HTML.

scanned in second sheet of course description, in HTML

 

I was planning to get an MS in physics at san Jose. These are the requirements I was told at the time:

205 ADV Dynamics (Fall) GARCIA

210 Electomagnetic theory   (Spring)

230 Methods in Mathematical physics (Fall)

240 Computational physics (Spring)   GARCIA taken, grade A.

263A Quantum theory I (Spring)

and approved other graduate letter grade B course.

 

MATH 143C or 143M

MATH 243

MATH 200 elective

 

PHYSICS thesis (3 credit)

Total 30 units.

 

Course notes

Some notes I’ve written during this course PDF

HWs Table

#

HW

#

 

1

Thursday 1/24/02. Review of Matlab.

HW1, due tuesday 1/29/02 is 1.3 (a,b).
Here is
HW1 completed in HTML . HW1.doc

This is teacher solution

 

13

problem_5_12.htm
notes_on_sampling.htm
problem_5_15.htm

 

2

HW2, due thursday 1/31/02 is 1.10 (a-d).
Here is
HW2 completed in HTML . HW2.doc

This is prof. Solution: page1  page2  page3

 

14

Problem_5_17a.htm

 

3

Tuesday 1/29/01, HW3 due 2/5. 1.13, 1.16, 1.22, 1.26

My solutions:

    problem1.13.htm
   
problem1.16.htm
   
problem_1.22_part_a.htm
  
problem_1.22_part_b_and_c.htm
  
problem_1.26.htm

 

see prof program related to this HW.

HW#4, 2.1, 2.2(a-e) due  Thursday 2/7/02

My solutions to the above

Problem 2.1:  p1  p2   p3

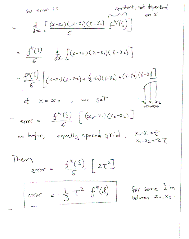
2.2_error_plot.htm
2.2_other_parts.htm

15

problem_5_20.htm
problem_5_23_part_b.htm
problem_5_24.htm
problem_5_27.htm

 

4

 

16

HW_6_4_a.htm

 

5

HW 5, due Tuesday 2/12/02

2.5, 2.6, 2.12, 2.15

problem_2.5.htm
problem_2.6.htm
problem_2.12.htm

 

17

problem_6_8.htm
problem_6_12_part_b.htm
problem_6_6_c.htm

 

6

HW 6, due Thursday 2/14/02

 

problem_2.21.htm

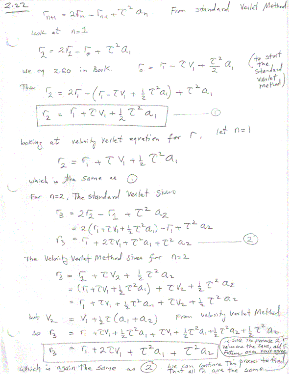
solution to 2.22

 

18

Problem_7_5.htm
Problem_7_2.htm

 

7

problem_3.5.htm

 

19

Problem_7_8_partb_corrected.htm
Problem_7_8_partc.htm
problem_7_12.htm

 

8

HW_3_14.htm
HW_3_18.htm

 

20

problem_8_5.htm
problem_8_1.htm

 

9

problem_3_25.htm
problem_2_23.htm

 

21

problem_10_12.htm
problem_10_6.htm
problem_8_8.htm

 

10

problem_4_15.htm

 

22

problem_10_13.htm

 

11

problem_4_18.htm
problem_4_16.htm
problem_4_20.htm
problem_4_24.htm
problem_4_25.htm

 

23

problem_9_8_part_a.htm

 

12

problem_5_3.htm
problem_5_6.htm

 

24

problem_9_12.htm
problem_9_13_part_b.htm

 

 

These are some HW’s which I am not sure where they belong

problem_10_13.pdf

problem_10_14.pdf

problem_10_4.pdf

problem_10_8.pdf

25

problem_11_9.htm
problem_11_4.htm  (need to correct small bug in this matlab code, later..)

 

 

 

26

Problem_11_18.htm

 

 

Midterm PDF