1. UP
  2. PDF (letter size)
  3. PDF (legal size)

Ten Hard Integrals

Nasser M. Abbasi

March 5, 2014   Compiled on September 26, 2025 at 8:06pm

The first 10 integrals from Kevin Charlwood’s 2008 article "Integration on Computer Algebra Systems" are solved using different CAS systems.

The original post on this topic is sci.math.symbolic by Martin

These are the CAS systems used

  1. Maple 18 on windows 7 (64 bit)
  2. Mathematica 9.01 on windows 7
  3. Rubi 4.1 on Mathematica 9.01 on windows 7
  4. Sage 5.4 using the Sage web server notebook interface
  5. Fricas 1.2 on Linux using sbcl lisp
  6. wxMaxima 12.04.0 (Maxima 5.28.02) on windows 7
  7. Axiom on windows 7 (May 2012) welcome screen image
  8. sympy on linux (python 2.7.3 full installation. sympy 0.7.1.rc1-3) starting image
  9. reduce reduce-windows64-20110414 help screen message with the algint package loaded.
  10. mupad engine in Matlab 2013a symbolic toolbox
  11. xcas 2013 January, version 1.0 on windows 7

Optimal answer to each intergal taken from Rich’s referenced PDF below.

Downloads, references and links

  1. Mathematica downloads

  2. Rubi downloads

  3. Maple downloads

    Maple Problem 10 trace entered as int(x^3*exp(1)^arcsin(x)/sqrt(1-x^2),x);

    Maple Problem 10 trace entered as int(x^3*exp(arcsin(x))/sqrt(1-x^2),x);

  4. maxima.wxm Maxima notebook.
  5. copy of Kevin Charlwood’s 2008 paper in PDF
  6. http://www.apmaths.uwo.ca/~arich/CharlwoodIntegrationProblems.pdf Albert Rich pdf file showing 50 integrals and the best antiderivatives expected
  7. http://www.apmaths.uwo.ca/ arich/CharlwoodProblems.m The above is m format.
  8. http://www.math.utah.edu/faq/reduce/
  9. http://www.reduce-algebra.com/packages.htm
  10. http://reduce-algebra.sourceforge.net/
  11. http://www.reduce-algebra.com/docs/reduce.pdf
  12. xCAS web page
  13. http://www.apmaths.uwo.ca/~arich/ Rubi Mathematica package home

The following is summary of results for each integral. Result with a () around it means the antiderivative contains nonelementary functions.

system 1 2 3 4 5 6 7 8 9 10 score
Mathematica 9.01 () () () () () 100%
Rubi 4.1 () 90%
Maple 18 () 90%
Axiom (May 2012) 80%
FriCAS 1.2 80%
Sage 5.4 40%
Maxima 5.28.02 40%
xcas 1.0 40%
Sympy 0.7.2 20%
Reduce 2008 20%
mupad 2013a 20%

1 \(\int \arcsin (x) \ln (x)\,dx\)

optimal
PIC

\(-2 \sqrt {1-x^2}+\sqrt {1-x^2} \log (x)+\tanh ^{-1}\left (\sqrt {1-x^2}\right )-x (1-\log (x)) \sin ^{-1}(x)\)

M 9.01

PIC

Rubi 4.1

PIC

Maple 18

PIC

Sage 5.4

PIC

Fricas 1.2

PIC

sympy 0.7.1

PIC

Axiom 5/12

PIC

Maxima 5.28.02

PIC

reduce 2008

PIC

HTML of trace

PDF of trace

mupad 2013a

  evalin(symengine,'int(asin(x)*log(x),x)')

  int(asin(x)*log(x), x)

xcas

PIC

2 \(\displaystyle \int \frac {x \arcsin (x)}{\sqrt {1-x^2}} \,dx\)

optimal
PIC

\(x-\sqrt {1-x^2} \sin ^{-1}(x)\)

M 9.01

PIC

Rubi 4.1

PIC

Maple 18

PIC

Sage 5.4

PIC

Fricas 1.2

PIC

sympy 0.7.1

PIC

Axiom 5/12

PIC

Maxima 5.28.02

PIC

reduce 2008

PIC

mupad 2013a

evalin(symengine,'int(x*asin(x)/sqrt(1-x^2),x)')

int((x*asin(x))/(1 - x^2)^(1/2), x)

xcas

PIC

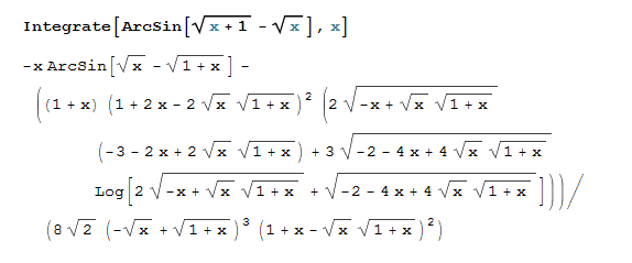
3 \(\displaystyle \int \arcsin \left ( \sqrt {x+1} - \sqrt {x} \right ) \,dx\)

optimal
PIC

\(\frac {\left (\sqrt {x}+3 \sqrt {x+1}\right ) \sqrt {\sqrt {x} \sqrt {x+1}-x}}{4 \sqrt {2}}-\left (x+\frac {3}{8}\right ) \sin ^{-1}\left (\sqrt {x}-\sqrt {x+1}\right )\)

M 9.01

PIC

Rubi 4.1

PIC

Maple 18

PIC

Sage 5.4

PIC

Fricas 1.2

PIC

sympy 0.7.1

PIC

Axiom 5/12

PIC

Maxima 5.28.02

PIC

reduce 2008

PIC

mupad 2013a

evalin(symengine,'int(asin(sqrt(x+1)-sqrt(x)),x)')

-int(asin(x^(1/2) - (x + 1)^(1/2)), x)

xcas

PIC

4 \(\displaystyle \int \ln \left ( 1+x\sqrt {1+x^2} \right ) \,dx\)

optimal
PIC

\(x \log \left (\sqrt {x^2+1} x+1\right )+\sqrt {2 \left (1+\sqrt {5}\right )} \tan ^{-1}\left (\sqrt {\sqrt {5}-2} \left (\sqrt {x^2+1}+x\right )\right )-\sqrt {2 \left (\sqrt {5}-1\right )} \tanh ^{-1}\left (\sqrt {2+\sqrt {5}} \left (\sqrt {x^2+1}+x\right )\right )-2 x\)

M 9.01

PIC

Rubi 4.1

PIC

Maple 18

PIC

Sage 5.4

PIC

Fricas 1.2

PIC

sympy 0.7.1

PIC

Axiom 5/12

PIC

Maxima 5.28.02

PIC

reduce 2008

PIC

mupad 2013a

evalin(symengine,'int(log(1+x*sqrt(1+x^2)),x)')

result in mupad_4.txt

xcas

PIC

5 \(\displaystyle \int \frac {\cos ^2(x)}{\sqrt {\cos ^4(x)+\cos ^2(x)+1}} \,dx\)

optimal
PIC

\(\frac {x}{3}+\frac {1}{3} \tan ^{-1}\left (\frac {\sin (x) \cos (x) \left (\cos ^2(x)+1\right )}{\sqrt {\cos ^4(x)+\cos ^2(x)+1} \cos ^2(x)+1}\right )\)

M 9.01

PIC

Rubi 4.1

PIC

Maple 18

PIC

Sage 5.4

PIC

Fricas 1.2

PIC

sympy 0.7.1

(waited one hr) PIC

Axiom 5/12

PIC

Maxima 5.28.02

PIC

reduce 2008

PIC

mupad 2013a

evalin(symengine,'int(cos(x)^2/sqrt(cos(x)^4+cos(x)^2+1),x)')

int(cos(x)^2/(cos(x)^4 + cos(x)^2 + 1)^(1/2), x)

xcas

PIC

6 \(\displaystyle \int \tan (x) \sqrt {1+\tan ^4(x)} \,dx\)

optimal
PIC

\(\frac {1}{2} \sqrt {\tan ^4(x)+1}-\frac {\tanh ^{-1}\left (\frac {1-\tan ^2(x)}{\sqrt {2} \sqrt {\tan ^4(x)+1}}\right )}{\sqrt {2}}-\frac {1}{2} \sinh ^{-1}\left (\tan ^2(x)\right )\)

M 9.01

click to view

Rubi 4.1

PIC

Maple 18

PIC

Sage 5.4

PIC

Fricas 1.2

PIC

sympy 0.7.1

PIC

Axiom 5/12

PIC

Maxima 5.28.02

PIC

reduce 2008

PIC

mupad 2013a

evalin(symengine,'int(tan(x)*sqrt(1+tan(x)^4),x)')

int(tan(x)*(tan(x)^4 + 1)^(1/2), x)

xcas

PIC

7 \(\displaystyle \int \frac {\tan (x)}{\sqrt {\sec ^3(x)+1}} \,dx\)

optimal
PIC

\(-\frac {2}{3} \tanh ^{-1}\left (\sqrt {\sec ^3(x)+1}\right )\)

M 9.01

PIC

Rubi 4.1

PIC

Maple 18

PIC

Sage 5.4

PIC

Fricas 1.2

PIC

sympy 0.7.1

PIC

Axiom 5/12

PIC

Maxima 5.28.02

PIC

reduce 2008

PIC

mupad 2013a

evalin(symengine,'int(tan(x)/sqrt(sec(x)^3+1),x)')

int(tan(x)/(1/cos(x)^3 + 1)^(1/2), x)

xcas

PIC

8 \(\displaystyle \int \sqrt {\tan ^2(x)+2 \tan (x)+2} \,dx\)

optimal
PIC

\(\sqrt {\frac {1}{2} \left (1+\sqrt {5}\right )} \tan ^{-1}\left (\frac {\sqrt {1+\sqrt {5}} \tan (x)-\sqrt {\sqrt {5}-1}}{\sqrt {2} \sqrt {\tan (x) (\tan (x)+2)+2}}\right )-\sqrt {\frac {1}{2} \left (\sqrt {5}-1\right )} \tanh ^{-1}\left (\frac {\sqrt {\sqrt {5}-1} \tan (x)+\sqrt {1+\sqrt {5}}}{\sqrt {2} \sqrt {\tan (x) (\tan (x)+2)+2}}\right )+\sinh ^{-1}(\tan (x)+1)\)

M 9.01

click to view

Rubi 4.1

PIC

Maple 18

image

Sage 5.4

PIC

Fricas 1.2

PIC

sympy 0.7.1

PIC

Axiom 5/12

HTML

Maxima 5.28.02

PIC

reduce 2008

PIC

mupad 2013a

evalin(symengine,'int(sqrt(tan(x)^2+2*tan(x)+2),x)')

int((2*tan(x) + tan(x)^2 + 2)^(1/2), x)

xcas

PIC

9 \(\displaystyle \int \sin (x) \arctan \left ( \sqrt {\sec (x)-1} \right ) \,dx\)

optimal
PIC

\(\frac {1}{2} \cos (x) \sqrt {\sec (x)-1}+\frac {1}{2} \tan ^{-1}\left (\sqrt {\sec (x)-1}\right )-\cos (x) \tan ^{-1}\left (\sqrt {\sec (x)-1}\right )\)

M 9.01

click to view

Rubi 4.1

PIC

Maple 18

PIC

Sage 5.4

PIC

Fricas 1.2

PIC

update: per post on sci.math.symbolic on June 20, 2013

BTW: Current developement FriCAS can also do #9:

(3) -> integrate(sin(x)*atan(sqrt(sec(x) - 1)), x)

   (3)
                                                  +------------+
                                                  |- cos(x) + 1
                                           cos(x) |------------
                      +----------+               \|   cos(x)
       - 2cos(x)atan(\|sec(x) - 1 ) + atan(---------------------)
                                                 cos(x) - 1
     +
              +------------+
              |- cos(x) + 1
       cos(x) |------------
             \|   cos(x)
  /
     2
                                         Type: Union(Expression(Integer),...)

sympy 0.7.1

PIC

Axiom 5/12

PIC

Maxima 5.28.02

PIC

reduce 2008

PIC

mupad 2013a

evalin(symengine,'int(sin(x)*atan(sqrt(sec(x)-1)),x)')

pretty(ans)
                                              /              1/2                  1/2 \
                                              | 3 asin(cos(x)   )   3 (1 - cos(x))    |             1/2
                                       cos(x) | ----------------- - ----------------- | (1 - cos(x))
                                              |            3/2          2 cos(x)      |
        / /   1        \1/2 \                 \    2 cos(x)                           /
  - atan| | ------ - 1 |    | cos(x) - ----------------------------------------------------------------
        \ \ cos(x)     /    /                                  /   1        \1/2
                                                             3 | ------ - 1 |
                                                               \ cos(x)     /

xcas

PIC

\(-\mathrm {atan}\left (\frac {\sqrt {-\left (-\cos \left (x\right )\right )^{2}+\cos \left (x\right )} \mathrm {sign}\left (\cos \left (x\right )\right ) \cos \left (x\right )}{\cos \left (x\right )^{2}}\right ) \cos \left (x\right )+2 (-\mathrm {sign}\left (\cos \left (x\right )\right )\cdot \frac {1}{\left (\mathrm {sign}\left (\cos \left (x\right )\right )\right )^{2}-1}\cdot \frac {1}{2}\cdot \frac {1}{2} \mathrm {asin}\left (2\cdot -\cos \left (x\right )+1\right )+2 \left (\mathrm {sign}\left (\cos \left (x\right )\right )\right )^{3}\cdot \frac {1}{\left (\mathrm {sign}\left (\cos \left (x\right )\right )\right )^{2}-1}\cdot \frac {1}{4}\cdot \frac {1}{\mathrm {abs}\left (\mathrm {sign}\left (\cos \left (x\right )\right )\right )} \mathrm {atan}\left (\frac {\frac {\left (\mathrm {sign}\left (\cos \left (x\right )\right )\right )^{2} (2 \sqrt {-\left (-\cos \left (x\right )\right )^{2}+\cos \left (x\right )}-1)}{-2\cdot -\cos \left (x\right )-1}-\left (\mathrm {sign}\left (\cos \left (x\right )\right )\right )^{2}+\frac {2 \sqrt {-\left (-\cos \left (x\right )\right )^{2}+\cos \left (x\right )}-1}{-2\cdot -\cos \left (x\right )-1}+1}{\mathrm {abs}\left (\mathrm {sign}\left (\cos \left (x\right )\right )\right )\cdot 2}\right ))\)

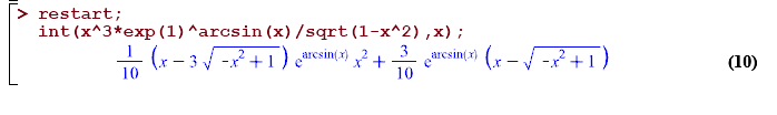
10 \(\displaystyle \int \frac {x^3 e^{\arcsin (x)} }{\sqrt {1-x^2}} \,dx\)

optimal
PIC

\(\frac {1}{10} \left (x^3-3 \sqrt {1-x^2} x^2-3 \sqrt {1-x^2}+3 x\right ) e^{\sin ^{-1}(x)}\)

M 9.01

PIC

Rubi 4.1

PIC

Maple 18

PIC

Sage 5.4

PIC

Fricas 1.2

PIC

sympy 0.7.1

PIC

Axiom 5/12

PIC

Maxima 5.28.02

PIC

reduce 2008

PIC

mupad 2013a

evalin(symengine,'int(x^3*exp(asin(x))/sqrt(1-x^2),x)')

int((x^3*exp(asin(x)))/(1 - x^2)^(1/2), x)

xcas

PIC

11 \(\displaystyle \int \frac { x \log (1+x^2) \log (x+ \sqrt {1+x^2}) }{ \sqrt {1+x^2}} \,dx\)

optimal
PIC

PIC

M 9.01

PIC

Rubi 4.1

PIC

Maple 18

PIC

12 \(\displaystyle \int \tan ^{-1}\left (\sqrt {1-x^2}+x\right ) \,dx\)

optimal
PIC

PIC

M 9.01

PIC

Rubi 4.1

PIC

Maple 18

PIC