Table of distributions properties

by Nasser Abbasi, generated using Mathematica 6.0 .1

Table of discrete distributions functions, E (X), Var (X)

Name X= pmf P(X=K) params E(X) Var(X)
Bernulli Number of wins on this trial "chart_of_distributions_1.gif" p p (1-p) p
Binomial Number of wins in n trials
Each trial has p chance of winning
"chart_of_distributions_2.gif" p,n n p n (1-p) p
Geometric Number of trials needed to
to obtain a success, Each trial has
p chance of success
"chart_of_distributions_3.gif" p "chart_of_distributions_4.gif" "chart_of_distributions_5.gif"
Negative Binomial Number of trials needed to
to obtain r successes, Each trial has
p chance of success
"chart_of_distributions_6.gif" r,p "chart_of_distributions_7.gif" "chart_of_distributions_8.gif"
Hypergeometric Number of black balls drawn
from urn when taking m balls without
replacement. urn has total of n balls
r black and m white
"chart_of_distributions_9.gif" m,r,n "chart_of_distributions_10.gif" "chart_of_distributions_11.gif"
Poisson Number of events in given period "chart_of_distributions_12.gif" λ λ λ

Name X= pmf P(X=K) params E(X) Var(X)
Bernulli Number of wins on this trial "chart_of_distributions_13.gif" p p (1-p) p
Binomial Number of wins in n trials
Each trial has p chance of winning
"chart_of_distributions_14.gif" p,n n p n (1-p) p
Geometric Number of trials needed to
to obtain a success, Each trial has
p chance of success
"chart_of_distributions_15.gif" p "chart_of_distributions_16.gif" "chart_of_distributions_17.gif"
Negative Binomial Number of trials needed to
to obtain r successes, Each trial has
p chance of success
"chart_of_distributions_18.gif" r,p "chart_of_distributions_19.gif" "chart_of_distributions_20.gif"
Hypergeometric Number of black balls drawn
from urn when taking m balls without
replacement. urn has total of n balls
r black and m white
"chart_of_distributions_21.gif" m,r,n "chart_of_distributions_22.gif" "chart_of_distributions_23.gif"
Poisson Number of events in given period "chart_of_distributions_24.gif" λ λ λ

Table of continuous distributions functions, E (X), Var (X)

Name X= pdf f(x) params E(X) Var(X)
Normal "chart_of_distributions_25.gif" μ,σ μ "chart_of_distributions_26.gif"
Exponential "chart_of_distributions_27.gif" λ "chart_of_distributions_28.gif" "chart_of_distributions_29.gif"
Gamma "chart_of_distributions_30.gif" α,β α β "chart_of_distributions_31.gif"
ChiSquare "chart_of_distributions_32.gif" n n 2 n
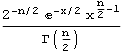
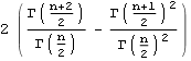
Chi "chart_of_distributions_33.gif" n "chart_of_distributions_34.gif" "chart_of_distributions_35.gif"
Uniform "chart_of_distributions_36.gif" min,max "chart_of_distributions_37.gif" "chart_of_distributions_38.gif"
Cauchy "chart_of_distributions_39.gif" a,b Indeterminate Indeterminate
Beta "chart_of_distributions_40.gif" α,β "chart_of_distributions_41.gif" "chart_of_distributions_42.gif"
ExtremeValue "chart_of_distributions_43.gif" α,β α+γ β "chart_of_distributions_44.gif"
Gumbel "chart_of_distributions_45.gif" α,β α-γ β "chart_of_distributions_46.gif"
Laplace "chart_of_distributions_47.gif" μ,β μ "chart_of_distributions_48.gif"
HalfNormal "chart_of_distributions_49.gif" θ "chart_of_distributions_50.gif" "chart_of_distributions_51.gif"

Table of expected value of  functions of random variable

Name Y, Function of random variable X E(Y) "chart_of_distributions_52.gif" "chart_of_distributions_53.gif"
X=Normal X μ "chart_of_distributions_54.gif" "chart_of_distributions_55.gif"
X=Normal 2 X 2 μ "chart_of_distributions_56.gif" "chart_of_distributions_57.gif"
X=Normal "chart_of_distributions_58.gif" "chart_of_distributions_59.gif" "chart_of_distributions_60.gif" "chart_of_distributions_61.gif"
X=Normal "chart_of_distributions_62.gif" "chart_of_distributions_63.gif" "chart_of_distributions_64.gif" "chart_of_distributions_65.gif"
X=Normal "chart_of_distributions_66.gif" "chart_of_distributions_67.gif" "chart_of_distributions_68.gif" "chart_of_distributions_69.gif"
X=Poisson 2 X 2 λ "chart_of_distributions_70.gif" "chart_of_distributions_71.gif"
X=Poisson "chart_of_distributions_72.gif" "chart_of_distributions_73.gif" "chart_of_distributions_74.gif" "chart_of_distributions_75.gif"
X=Poisson "chart_of_distributions_76.gif" "chart_of_distributions_77.gif" "chart_of_distributions_78.gif" "chart_of_distributions_79.gif"
X=Poisson "chart_of_distributions_80.gif" "chart_of_distributions_81.gif" "chart_of_distributions_82.gif" "chart_of_distributions_83.gif"
X=Poisson "chart_of_distributions_84.gif" "chart_of_distributions_85.gif" "chart_of_distributions_86.gif" "chart_of_distributions_87.gif"
X=Poisson "chart_of_distributions_88.gif" "chart_of_distributions_89.gif" "chart_of_distributions_90.gif" "chart_of_distributions_91.gif"
X=Poisson "chart_of_distributions_92.gif" "chart_of_distributions_93.gif" λ "chart_of_distributions_94.gif"
X=Gamma(α,β) 2 X 2 α β "chart_of_distributions_95.gif" "chart_of_distributions_96.gif"
X=Gamma(α,β) "chart_of_distributions_97.gif" "chart_of_distributions_98.gif" "chart_of_distributions_99.gif" "chart_of_distributions_100.gif"
X=Gamma(α,β) "chart_of_distributions_101.gif" "chart_of_distributions_102.gif" "chart_of_distributions_103.gif" "chart_of_distributions_104.gif"
X=Gamma(α,β) "chart_of_distributions_105.gif" "chart_of_distributions_106.gif" "chart_of_distributions_107.gif" "chart_of_distributions_108.gif"
X=Gamma(α,β) "chart_of_distributions_109.gif" "chart_of_distributions_110.gif" "chart_of_distributions_111.gif" "chart_of_distributions_112.gif"
X=Gamma(α,β) "chart_of_distributions_113.gif" "chart_of_distributions_114.gif" "chart_of_distributions_115.gif" "chart_of_distributions_116.gif"
X=Gamma(α,β) "chart_of_distributions_117.gif" "chart_of_distributions_118.gif" α β "chart_of_distributions_119.gif"
X=ChiSquare(n) X n n (n+2) "chart_of_distributions_120.gif"
X=ChiSquare(1) X 1 3 2
X=ChiSquare(1) 2 X 2 12 8
X=ChiSquare(2) X 2 8 4
X=ChiSquare(2) 2 X 4 32 16
X=T(n) X "chart_of_distributions_121.gif" "chart_of_distributions_122.gif" "chart_of_distributions_123.gif"
X=StudentTDistribution(1) X ExpectedValue[x,StudentTDistribution[1],x] "chart_of_distributions_124.gif" "chart_of_distributions_125.gif"
X=StudentTDistribution(1) 2 X ExpectedValue[2 x,StudentTDistribution[1],x] "chart_of_distributions_126.gif" "chart_of_distributions_127.gif"
X=StudentTDistribution(2) X 0 "chart_of_distributions_128.gif" "chart_of_distributions_129.gif"
X=StudentTDistribution(2) 2 X 0 "chart_of_distributions_130.gif" "chart_of_distributions_131.gif"

Some formulas

"chart_of_distributions_132.gif" "chart_of_distributions_133.gif" "chart_of_distributions_134.gif"
Var(X)=Cov(X,X) "chart_of_distributions_135.gif"
"chart_of_distributions_136.gif" Cov(X,Y)=E(XY)-E(X)E(Y) Cov(a+X,Y)=Cov(X,Y)
Cov(aX,bY)=ab Cov(X,Y) Cov(X,Y+Z)=Cov(X,Y)+Cov(X,Z) "chart_of_distributions_137.gif"
"chart_of_distributions_138.gif" "chart_of_distributions_139.gif" E(X+Y)=E(X)+E(Y)
"chart_of_distributions_140.gif" M'(t=0)=E(X) "chart_of_distributions_141.gif"
"chart_of_distributions_142.gif" Theorem B, page 138: Var(Y)=Var(E(Y|X))+E(Var(Y|X)) "chart_of_distributions_143.gif"
"chart_of_distributions_144.gif" "chart_of_distributions_145.gif" "chart_of_distributions_146.gif"
"chart_of_distributions_147.gif" "chart_of_distributions_148.gif" "chart_of_distributions_149.gif"
"chart_of_distributions_150.gif" "chart_of_distributions_151.gif" "chart_of_distributions_152.gif"
"chart_of_distributions_153.gif" "chart_of_distributions_154.gif" "chart_of_distributions_155.gif"

Table of moment generating functions

Distribution "chart_of_distributions_156.gif" M'(t=0)=E(x) "chart_of_distributions_157.gif" "chart_of_distributions_158.gif"
Binomial "chart_of_distributions_159.gif" n p "chart_of_distributions_160.gif" "chart_of_distributions_161.gif"
Geometric "chart_of_distributions_162.gif" "chart_of_distributions_163.gif" "chart_of_distributions_164.gif" "chart_of_distributions_165.gif"
NegativeBinomial "chart_of_distributions_166.gif" "chart_of_distributions_167.gif" "chart_of_distributions_168.gif" "chart_of_distributions_169.gif"
Hypergeometric "chart_of_distributions_170.gif" "chart_of_distributions_171.gif"
Poisson "chart_of_distributions_172.gif" λ "chart_of_distributions_173.gif" "chart_of_distributions_174.gif"
Normal "chart_of_distributions_175.gif" μ "chart_of_distributions_176.gif" "chart_of_distributions_177.gif"
Exponential "chart_of_distributions_178.gif" "chart_of_distributions_179.gif" "chart_of_distributions_180.gif" "chart_of_distributions_181.gif"
Gamma "chart_of_distributions_182.gif" α β "chart_of_distributions_183.gif" "chart_of_distributions_184.gif"
ChiSquare "chart_of_distributions_185.gif" n "chart_of_distributions_186.gif" "chart_of_distributions_187.gif"
Chi "chart_of_distributions_188.gif" "chart_of_distributions_189.gif" -n "chart_of_distributions_190.gif"
Uniform "chart_of_distributions_191.gif" "chart_of_distributions_192.gif" "chart_of_distributions_193.gif" "chart_of_distributions_194.gif"
Cauchy "chart_of_distributions_195.gif" a-b "chart_of_distributions_196.gif" "chart_of_distributions_197.gif"
Beta Hypergeometric1F1[α,α+β,t] "chart_of_distributions_198.gif" "chart_of_distributions_199.gif" "chart_of_distributions_200.gif"
ExtremeValue "chart_of_distributions_201.gif" α+EulerGamma β "chart_of_distributions_202.gif" "chart_of_distributions_203.gif"
Gumbel "chart_of_distributions_204.gif" α-EulerGamma β "chart_of_distributions_205.gif" "chart_of_distributions_206.gif"
Laplace "chart_of_distributions_207.gif" μ "chart_of_distributions_208.gif" "chart_of_distributions_209.gif"
HalfNormal "chart_of_distributions_210.gif" "chart_of_distributions_211.gif" "chart_of_distributions_212.gif" "chart_of_distributions_213.gif"

"chart_of_distributions_214.gif"


Created by Wolfram Mathematica 6.0 for Students - Personal Use Only  (02 February 2008) Valid XHTML 1.1!