HW 5. CEE 247. Structural Dynamics. UCI. Fall 2006.
Nasser Abbasi
Solution
The idealized physical system is the following

The Lagrangian of the system is
Now apply Euler equation on the Lagrangian to obtain the equation of motion
for each degree of freedom. Given
the equation of motion for
is given by
Hence the equation of motion associated with
is given by
And the equation of motion associated with
is
given by
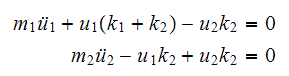
Hence the equation of motions are
Hence the overall system EQM can be put in a matrix form as follows
Notice that the mass matrix
and the stiffness matrix
are symmetric. This will always be the case for conservative systems.
Equation (3) can be written as
Now assume the solution is given by
Substitute (5) into (4) we obtain
Since
we divide by it and obtain
Factor out
To have a non-trivial solution for the motion the above implies that the
determinant of
must be zero. Hence we need to solve
Let
,
and expand the matrices and rewrite we obtain
Now find the numerical values for
and plug into the above equation to find
and
Hence eq (6) above becomes
Hence
Hence this is now in standard quadratic format, solve for
Hence
and
Since
then
and similarly
Now to find the eigenvectors, since
Then
For the first eigenvalue
the above becomes
From first equation we obtain
Hence
Hence we choose the first eigenvector to be
For the second eigenvalue
From first equation we obtain
Hence
Hence we choose the second eigenvector to be
Conclusion
Answer
First deterrmine the stiffness and the masses.
I wrote a Mathematica program to solve this. This is the result, and below that I attach step by step run of the program