HW 4. CEE 247. Structural Dynamics. UCI. Fall 2006.

Nasser Abbasi


Problem

Determine and plot the deformation response $u\left( t\right) $ from a SDOF system with natural period of $2\sec $ and $\zeta =5\%$ to the El Centro ground motion N-S component. Implement one of the numerical time-stepping algorithms.

Solution

Derivation used was based on TextBook 'Structural Dynamics' 5th edition by Paz and Leigh. Page 185.




First, The El Centro data needed was downloaded from this web site

http://nisee.berkeley.edu/data/

Here is listing of the first few lines of the file:

Data for El Centro 1940 North South Component (Peknold Version)
1559 points at equal spacing of 0.02 sec
Points are listed in the format of 8F10.5, i.e., 8 points across in
a row with 5 decimal places
The units are (g)
*** Begin data ***
   0.00630   0.00364   0.00099   0.00428   0.00758   0.01087   0.00682   0.00277
  -0.00128   0.00368   0.00864   0.01360   0.00727   0.00094   0.00420   0.00221
   0.00021   0.00444   0.00867   0.01290   0.01713  -0.00343  -0.02400  -0.00992
   0.00416   0.00528   0.01653   0.02779   0.03904   0.02449   0.00995   0.00961
   0.00926   0.00892  -0.00486  -0.01864  -0.03242  -0.03365  -0.05723  -0.04534

We start by the equation of motion for SDOF system, using relative motion to support subjected to suppose accelaration of $\ddot{u}_{g}$

MATH

The ground accelaration $\ddot{u}_{g}$ is given from the El-centro earthquake measurements.

Solve using the method of linear acceleration. We start by writing the above equation as

MATH

Where in the above all the mass displacement, velocity and acceleration are relative to the support and are not the absolute values.

Rewrite the above, to remove the unknown mass $m$ as follows

MATH

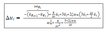
Following the analysis of the text book, from equation 6.36 on page 186, and using MATH we have the following expression for the change of displacement at time step $i$

MATH

and hence we can now find $u_{i+1}$ using

MATH

Now, we can find $\Delta \dot{u}_{i}$ from equation 6.31 in the book

MATH

Hence

MATH

And MATH is obtained directly from equation (1) above

MATH

Hence

MATH

Now that MATH have been obtained, the process is repeated for the next step.

We start the process by using the initial conditions of MATH

The El-centro data file gives the values of $\ddot{u}_{g_{i}}$, which we will use to solve this problem. $\Delta t=2\sec $ for this data.

Hence the algorithm is as follows

  1. $i=1$, MATH

  2. read $\ddot{u}_{g_{i}}$ and $\ddot{u}_{g_{i+1}}$ from El-centro file, and find MATH

  3. Find $\Delta u_{i}$ from eq (2). Find $u_{i+1}$ from eq (3)

  4. Find $\Delta \dot{u}_{i}$ from eq (4). Find $\dot{u}_{i+1}$ from eq (5)

  5. Find MATH from eq (6). Find $\ddot{u}_{i+1}$ from eq (7)

  6. $i=i+1$ and go to step 2. Stop when $i$ is the length of the el-centro data less than 1

The following is a listing of the program and the output