HW2. CEE 247. Structural Dynamics. UCI. Fall 2006
Nasser Abbasi
Solution
The rotating mass generates a force of
where
is the angular speed of the rotating weight and
is the distance of the mass from the center of the motor.
Hence the vertical load is
But
,
hence the vertical force is
The physical idealized model is

Hence the equation of motion can now be written from the free body diagram as
(where
is the mass of the electric motor) and assuming the mass is moving to the
right, and taking
relative to the static equilibrium position.

The above ODE has the solution
Where
,
where
and
and
and
and
At steady state, the transient solution decays to zero thanks to the negative exponential term in it, and the solution becomes
Which has amplitude of
.
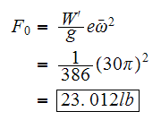
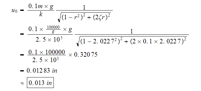
Hence we need to evaluate
But motor runs at
rpm, hence
We are given that
lb.in, Hence
Now we need to find
,
the stiffness of the beam against bending. For this geometry,
But
ksi for steel, and for
from tables we find
in
,
hence
Now to find
Recall
that that
lb, hence
Hence
Putting all these together we obtain
Hence
(Note: The back of the book gives
,
I think the book used a slightly different steel table to obtain
which could have been slightly different than the one I used.)
solution
From the free body diagram:

We see that the forces transmitted to the support are
Where
here is taken as the steady state solution from problem 3.2, which is
Where
,
and
Differentiate the above equation and substitute the results back into the
equation we obtain
Where
Hence we see that the maximum force transmitted to the supports are given by
We now plug into the above equation the results we obtain from problem 3.2 to
determine
.
All the variables in the above expression are known, which are repeated here
We just need to find the damping
.
Since
and
,
hence
Hence
Now substitute all the above values into equation (1) we obtain
solution
The physical idealized system is the following

Where in the above,
is
the absolute displacement of the tower, and
is the absolute displacement of the ground. The free body diagram is

Applying newton's second law we obtain
Expand and rearrange
Let the relative motion between the mass and the ground be
,
hence
or
,
similarly
And
Using the above expressions for
,
we can now rewrite (1) as
Expand (2) and cancel terms we obtain
Or
The above is the equation of motion of the tower using relative displacement.
Hence we can view the term
as the effective force acting on the tower due to the acceleration of the
ground.
Now using the fact that the ground motion is harmonic, we can write
Where
is the maximum amplitude of the ground displacement, and
is the ground motion frequency. Hence from the above we obtain that
Plug the above into (3) we obtain
The above is now in standard 2nd order linear system, the steady state
solution for
is
Where
and
,
where
,
and
But we are told that
,
Hence the above becomes
We are given that
and
Then
Then
and since
we obtain
Determine the transmissibility of the above problem
Solution
We need to determine first the expression that represents the force that is transmitted to the ground. From the idealized system diagram

We see that the force transmitted to the support is
But
Where
where
here is the effective force.
Hence
Where
Hence Max force transmitted is
But
hence
But
hence
Now, since from the earlier problem we found that
,
and given that
then

Solution
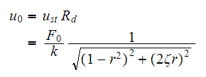
We start with the expression for the maximum amplitude steady state displacement given by
We have 2 cases, case 1 is when
(resonance), and the second case is when
.
Hence we obtain the following equation
Hence
Solution
Considering maximum amplitude of steady state is given by
But
We are given one case where
(resonance) and another case where
.When
,
we obtain
When
we write (where we call
when
as
Square equation (1) and (2) and divide by each others we obtain
Hence
Since
Hence
But
at resonance, hence
But from first part, we found expression for
,
which we plug into the above to obtain
Hence