up
MAE 185 Numerical Analysis in Mechanical
Engineering SPRING 2006, UCI. Mechanical Engineering dept.
Personal course web site by Nasser M. Abbasi, last updated
062206
−−−−−−−−−−−−−−−−−−−−−−−−−−−−−−−−−−−−−−−−−−−−−−−−−−−−−−−−
Introduction and contact information. 1
FINAL EXAM... 3
Lecture notes. 3
Homeworks. 4
Discussion notes. 4
Download section. 4
Useful Links. 5
Free compilers. 5
Fortran resources. 5
Fortran official language reference manuals. 5
Fortran tutorials and help pages and other useful
links. 5
Fortran 90/95 Tutorials and references. 6
Links specific to floating point Arithmeti and
Numerical computation. 7
−−−−−−−−−−−−−−−−−−−−−−−−−−−−−−−−−−−−−−−−−−−−−−−−−−−−−−−−
This course was in spring 2006 by Professor Donald Dabdub
from Mechanical eng. Dept, UCI.
I was the TA for the course, and will use this web file to
keep track of information ref. this course and my notes, etc…
Instructor
Professor Dabdub web
site http://albeniz.eng.uci.edu/dabdub/
Email: ddabdub@uci.edu
Phone: 949-824-6126, EG 4226
Office Hours Tuesday
and Thursday 2-3 PM
Official class web site http://albeniz.eng.uci.edu/mae185
TA: Nasser M. Abbasi
Email: nabbasi@uci.edu
Office hours: Monday, Wednesday 1:00-2:00 PM
Office: Located inside Professor Dabdub lab. in EG 3102
Class info from the schedule

Text book



|
|
FOUNDATIONS.
Systems of Linear Algebraic Equations.
Nonlinear Algebraic Equations.
DATA ANALYSIS.
Statistics and Least-Squares Approximation.
Curve Fitting.
NUMERICAL CALCULUS.
Differentiation and Integration.
Ordinary Differential Equations.
ADVANCED TOPICS.
Matrix Eigenproblems.
Introduction to Partial Differential Equations.
Design and Optimization.
Appendices.
References.
Bibliography.
Answers to Selected Problems.
Index.
|
−−−−−−−−−−−−−−−−−−−−−−−−−−−−−−−−−−−−−−−−−−−−−−−−−−−−−−−−
Final exam problem [PDF]
Additional instructions [HTML]
Note on recording CPU
time:
You only need to record the CPU time at the end of each
method, which will result in recording CPU time 3 times only at t=30, once per
method. See this for a Fortran Template [HTML]
my solution to final exam [HTML]
Fortran guide note for class HTML
These are my own notes I wrote down during the class lectures.
- Tuesday_April_4_2006 [PDF]
- Thursday_April_6_2004 [PDF]
- Tuesday_April_11_2006 [PDF]
This is my
solution for quiz professor gave about outputting the big and the
small number without use of IF nor DO loops.
- Thursday
April 14, 2006. Lecture was a FORTRAN exam.
Here are my solutions
- Tuesday_April_18_2006
- Thursday April
20, 2006
- Tuesday_April_25_2006
- Thursday
April 27 2006.
- Tuesday_May_2_2006.pdf
- Thursday_May_4_2006.pdf
- Tuesday_May_9_2006.pdf
- Thursday_May_11_2004.pdf
- Tuesday
May16 2006. TODO
- Thursday
May 18, 2006. Midterm.
Questions: midterm_exam_MAE_185_s06.pdf
Answers: PDF format midterm_solutions.pdf
HTML format midterm_solutions.htm
Take home part of the midrerm
solution [HTML]
- Tuesday
May 23 2006. Lecture was on Romberg
Integration and review of Trapezoidal and simpson’s integration method.
- Thursday
May 25, 2006. Lecture was on Gaussian quadrature. And the following iterative
methods for solving Ax=b: Jacboi, Gauss-seidel, and SOR.
My scratch notes [PDF, HTML]
The following is a note on Gaussian quadrature with worked examples. [PDF, HTML]
- Tuesday
May 30,2006 [PDF]
- Thursday
June 1, 2006 [PDF]
- Tuesday
June 6, 2006 [PDF]
−−−−−−−−−−−−−−−−−−−−−−−−−−−−−−−−−−−−−−−−−−−−−−−−−−−−−−−−
- HW1 [PDF]
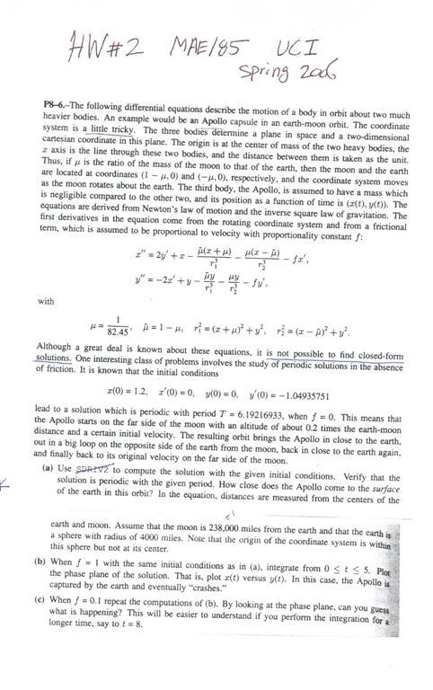
- HW2
problem. Assigned on April 27, 2006 [image]
- HW3. Assigned
on Tuesday May 9,2006. Generate and plot the Julian sets for
f(z)=z^2-2^z
and
f(z)-z^3-3^z
- HW4.
On Romberg integration. [HTML]
−−−−−−−−−−−−−−−−−−−−−−−−−−−−−−−−−−−−−−−−−−−−−−−−−−−−−−−−
- Friday_april_7_2006
- Friday
April 14 2006. Went over FORTRAN exam solution.
- Friday
April 21. Solution of Ax=b, and example using Gaussian elimination method.
These
are informal discussion notes.
This is a diagram that summarizes the methods. HTML PDF PNG
- Friday April 28 2006.
- friday_may_5_2006.pdf
- notes
for Friday May 12, 2006 are here in PDF format. Here in HTML format.
- Friday
May 19, 2006.
- Friday
May 26, 2006. Posted notes on Gaussian Quadrature. [PDF, HTML]
- Friday
June 2. Review of PDE’s classification, numerical solution of PDE using
centered difference, classification of B.C’s, and review of using Numman
stability criteria.
−−−−−−−−−−−−−−−−−−−−−−−−−−−−−−−−−−−−−−−−−−−−−−−−−−−−−−−−
I’ll put here things for downloading. As needed.
- This PDF file
contains list of FORTRAN77 intrinsic function from the back of the book by
Etter. Added April 24,2006
- This PDF file
contains list of FORTRAN77 intrinsic function from the back of the book by
Ellis. Added April 24,2006
- This PDF file is Intel FORTRAN
90 Language reference manual.
- This PDF
file is Intel FORTRAN 90 Library reference manual.
- FORTRAN
77 Manual (X3J3) HTML
version
- Historical
FORTRAN manual. This is the 1956 FORTRAN manual in
PDF written for the IBM704. This is I think is FORTRAN II. Classic.
- Free book on FORTRAN 77 in PDF
format, by Clive G. Page.
- Free book on FORTRAN 77 by Ian
Chivers and Jane S. in PDF
format.
9.
These are the WATCOM free FORTRAN manuals. They can be
downloaded from http://www.openwatcom.org/index.php/Manuals
.
−−−−−−−−−−−−−−−−−−−−−−−−−−−−−−−−−−−−−−−−−−−−−−−−−−−−−−−−
- http://www.openwatcom.org/index.php/Download This is free WATCOM F77 compiler for
windows.
- http://www.silverfrost.com/32/ftn95/ftn95_personal_edition.asp This is a FREE FORTRAN 95 compiler for
windows. Salford
F95. I tried it and it is nice, it has a GUI front end, and even a
debugger one can step through.
- http://www.cygwin.com/ Cygwin is a complete unix environment
for windows. Download and install. Make sure to select all the tools to
obtain the GNU fortran compilers as well.
- http://www.gnu.org/software/fortran/fortran.html GNU fortran 77 web site.
- http://www.g95.org/ free g95 compiler group.
- http://www.gfortran.org/ another free fortran compiler site.
−−−−−−−−−−−−−−−−−−−−−−−−−−−−−−−−−−−−−−−−−−−−−−−−−−−−−−−−
- Fortran
95 language manual.
http://j3-fortran.org/doc/year/97/97-007r2/pdf/97-007r2.pdf here is local copy in the
case the above goes away.
- http://www.openwatcom.org/index.php/Manuals FORTRAN 77 manuals.
- http://gcc.gnu.org/onlinedocs/gfortran/index.html GNU FORTRAN 95 on-line manual.
- http://j3-fortran.org/doc/standing/007/ This web site contain FORTRAN 2003 early
drafts and language specifications for free download.
- http://fortran.domeintje.net/ “Fortran start page”. According to
author. This web page has lots of good links to Fortran resources. Such as FAQ’s and compilers and other
Fortran links.
- http://library.lanl.gov/numerical/bookf90pdf.html The complete Numerical reciepies book in
Fortran90 on-line. This is the parent page http://library.lanl.gov/numerical/
which includes F77 Numerical
recipes.
- http://www.cs.mtu.edu/~shene/COURSES/cs201/NOTES/fortran.html A FORTRAN tutorial. good basic notes on
FORTRAN by Dr. C.-K. Shene
- http://www.star.le.ac.uk/~cgp/f90course/f90.html Good notes that makes it easy to move to
FORTRAN 90 from FORTRAN 77
- http://www.nsc.liu.se/~boein/f77to90/ FORTRAN90 for FORTRAN77 programmers. An
on-line tutorial.
- http://www.dmoz.org/Computers/Programming/Languages/Fortran/ FORTRAN page on the open directory
languages web site.
- http://www.j3-fortran.org/ The FORTRAN standards committee. In this
site one can download free copies of FORTRAN 2003 standard.
- http://www.csit.fsu.edu/~burkardt/f_src/f_src.html John Burkardt collection of F90
routines.
- http://www.fortranlib.com/ The fortran library site
- http://www.fortran.com/ The FORTRAN company
- http://gershwin.ens.fr/vdaniel/Doc-Locale/Langages-Program-Scientific/Fortran/Tutorial/index.htm a fortran tutorial on F77.
- http://www.ibiblio.org/pub/languages/fortran/unfp.html Some notes on fortran.
- http://www.star.le.ac.uk/~cgp/prof77.html Some one Guide for F77. I went over
this, look good.
- http://www.netlib.org/ free fortran software to download
- http://www.engineering.usu.edu/cee/faculty/gurro/Software_Calculators/Fortran_g77/MyFortranG77Page.html an F77 web page.
- http://www.obliquity.com/computer/fortran/function.html List of all F77 intrinsic functions.
- http://www.obliquity.com/computer/fortran/ F77 reference web page
- http://www.ictp.trieste.it/~manuals/programming/sun/fortran/ Sun F77 page
−−−−−−−−−−−−−−−−−−−−−−−−−−−−−−−−−−−−−−−−−−−−−−−−−−−−−−−−
(These below I found in Intel manual, I copied here)


−−−−−−−−−−−−−−−−−−−−−−−−−−−−−−−−−−−−−−−−−−−−−−−−−−−−−−−−
- http://docs.sun.com/source/806-3568/ncg_goldberg.html This is a good document by David
Goldberg. Good reading.
- http://www.nr.com/ Numerical recipes.